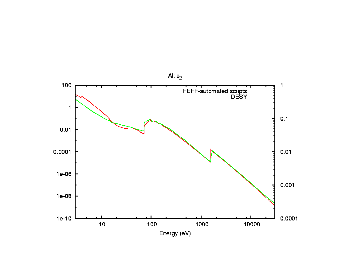
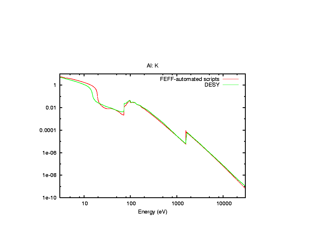
> Optical constants of Al Plot of Al epsilon 1 Plot of Al energy loss Plot of Al k Plot of Al absorption coefficient Plot of Al n Plot of Al reflection coefficient Plot of Al epsilon 2 sum rule
Data from: H.J. Hageman, W. Gudat, and C. Kunz. H. J. Hagemann, W. Gudat, and C. Kunz, J. Opt. Soc. Am. 65, 742 (1975); H.J. Hageman, W. Gudat, and C. Kunz, Optical Constants From the Far Infared to the X-ray Region: Mg, Al, Cu, Ag, Au, Bi, C, and Al2O3. DESY Report SR-74/7 (1974).